2-8. What is the Dorian Mode?
Based on the C Major Scale
(Updated: )-
Basic:
-
Build Dorian Mode only use the notes from C major scale
-
D Dorian is the 2nd mode of the C major scale; E Dorian is the 2nd mode of D major scale.
-
start from the 2nd note which is D from major scale.
-
-
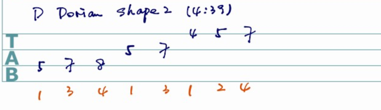
Main Content: Familiar with D Dorian shapes and say the note name out loud.
-
go with what feels nature to you most, as an individual.
-
Don’t limit yourself to one position. To explore the other ways you can spell out the sound of D Dorian in the position across the neck. By finding the notes from C major, you can easily create D Dorian elsewhere on the neck.
-
It’s important to get used to play modes and scales through and beyond the typical one octave range
-
-
shapes and skip 3rd:
- shape 1: (detailed explanation: 2:19; practice example: 3:38)

- shape 2: (detailed explanation: 4:39; practice example: 4:55)

- apply skip 3rd in D Dorian. (guide you through how to skip in D Dorian 6:32; practice 7:42)


引用自链接
仅供自己学习贝斯使用
未经许可不可转载,但欢迎分享